一、ASME简单判断式
ASME简单判断法是由美国ASMEB31.1标准给出的一种快速确定管系热膨胀补偿是否满足要求的简便方法,在工程设计中得到了广泛的应用。但是,该方法仅是一个判断式,它并不能计算出管系中的应力、边界反力和位移等数值,只进行简单的判断。它的判断结果是粗略的,也是比较保守的,因此对贵重的管道(如合金钢、不锈钢、特殊耐热钢、超低温用钢管道等)不宜用它进行最终分析。
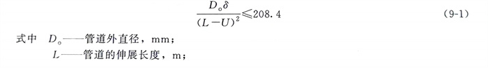
具有同一直径、同一壁厚、无分支管、两端固定、中间无支承约束的非剧毒管道若不存在下列情况则可以按ASME简单判断式[式(9-1)]进行判断:存在剧烈冷热循环变化的管道;大直径薄壁管;不等腿的管道展开长度大于端点连线长度2.5倍的U形管道;不在端点连线方向上的端点附加位移占总位移量的大部分;近似直线的锯齿形状的管道。

U-固定点之间的连线长度,m;
δ-作用于管道的总热位移荷载,mm,由管端处管道自由热胀冷缩位移以及设备热胀冷缩位移叠加构成,前者在热胀条件下取正值,在冷缩条件下取负值,后者以造成端点相向移动取正值,相背移动取负值。
二、ASME简单判断式不适用的管道
①. 在剧烈循环条件下运行,有疲劳危险的管道。
②. 大直径薄壁管道(管件应力增强系数i≥5)。
③. 与端点连线不在同一方向的端点附加位移量占总位移量大部分的管道。
④. L/U>2.5的不等腿U形弯管管道,或近似直线的锯齿状管道。
三、简单判断式的求解步骤
在进行ASME简单判断式的求解时,一般情况下并不困难,只需要将式中各参数按各自的定义求出并代入公式计算即可。但当管系两端点有附加位移时,一些设计人员往往将端点位移的正、负号搞错而导致计算错误。为此,特将端点位移的正、负号判断方法进行介绍。端点位移的正、负号可按以下两种方法确定。
第一种方法(热胀趋势法)判断步骤如下。
①. 选择任一端点为始端,而另一端则为末端。
②. 假想始端固定,而末端开放,并以此判断管系的热胀方向。
③. 管系中各管段的热胀量 Δl=ΔTt 同一方向的管道热胀量为各管段热胀量的代数和,并判断末端在该方向上的位移趋势。
④. 两端点有附加位移时,对于始端,其附加位移方向与管系的热胀趋势相同时取“十”,与管系位移趋势相反时取“一”。对于末端,其附加位移方向与管系的热胀趋势相同时取“-”,与管系的热胀趋势相反时取“十”;
第二种方法(热胀坐标法)判断步骤如下。
①. 选择任一端为始端,另一端则为末端。
②. 假想始端固定,末端开放,并以始端为原点建立坐标系。
③. 从始端(坐标原点)沿管系向末端行走,与坐标同向时位移为正,反向时为负,最后分别取各方向的位移代数和。该代数和具有“十”“-”号,“十”号表示该方向的总位移方向与坐标轴同向,而“一”号表示该方向的总位移方向与坐标轴反向。
④. 端点有附加位移时,对于始端,如果其附加位移方向与坐标轴同向则为“+”,反向则为“一”;对于末端,如果其附加位移方向与坐标轴同向则为“十”,反向则为“-”。
热胀趋势法和热胀坐标法得到的结果是相同的。
工程实例
ASME简单判断式的工程应用
有一Φ273mm×8mnm的碳钢管道,其设计温度为250℃,安装温度为20℃,线胀系数为at=12.8×10-6℃-1。管道走向如图9-5所示,其中A、D为固定点。试计算其柔性是否足够。

因为A=501.12>208.4,所以该管道不能满足柔性要求。

