bb708电子游戏娱乐-手机App下载
首页
关于我们
公司简介
企业理念
核心服务
荣誉证书
新闻中心
企业资讯
行业新闻
产品中心
不锈钢管
不锈钢管件
不锈钢法兰
预制件加工
车间设备
生产设备
检测设备
质保体系
体系认证
售后服务
联系我们
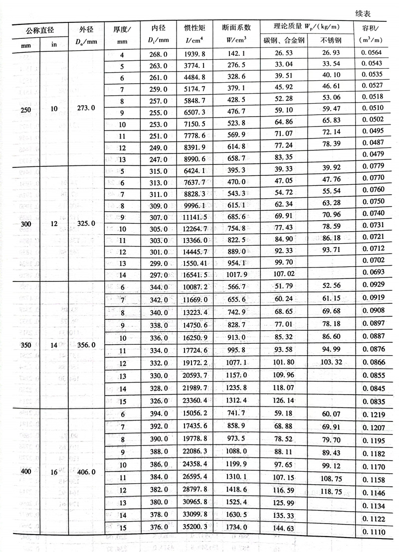
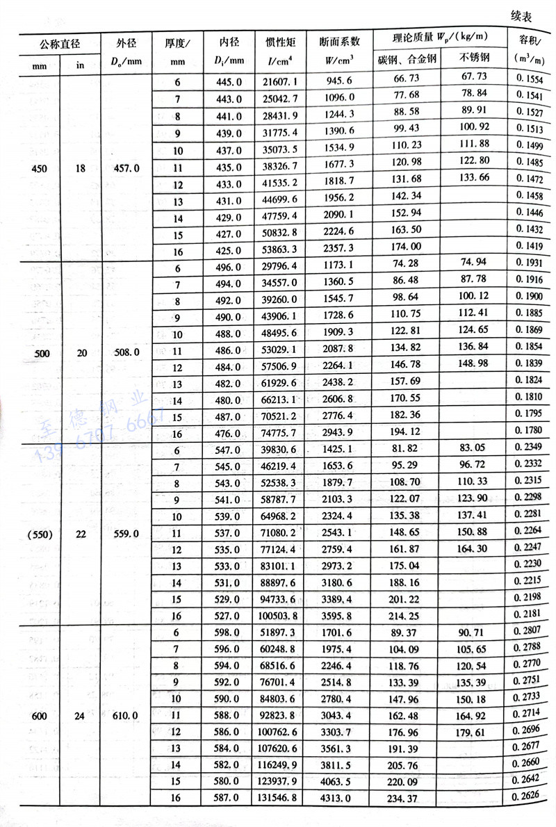
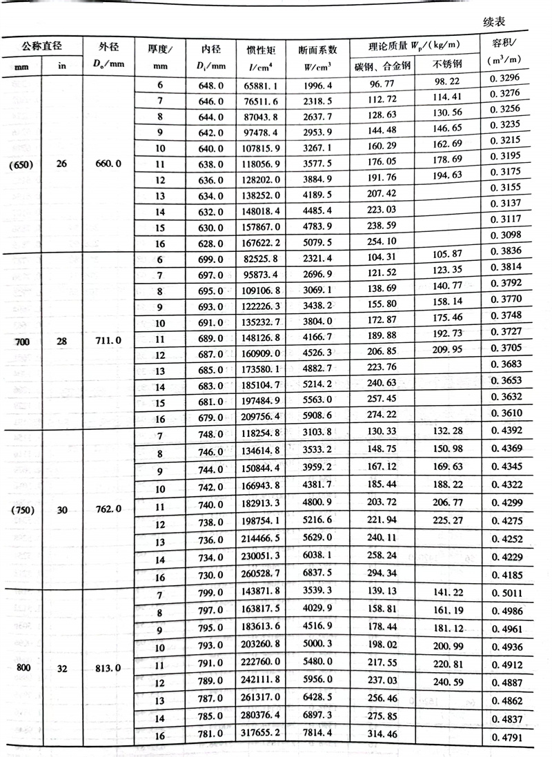
中国石化行业标准焊接钢管尺寸及特性数据
发布日期:2023-05-06 21:12:45 人气:314
中国石化行业标准焊接钢管尺寸及特性数据见表 4.1.15
022Cr25Ni6Mo2N、022Cr25Ni7Mo3WCuN 双相不锈钢性能与用途
管廊布置的工程应用实例介绍
猜你喜欢