发布日期:2023-05-06 14:42:09 人气:309
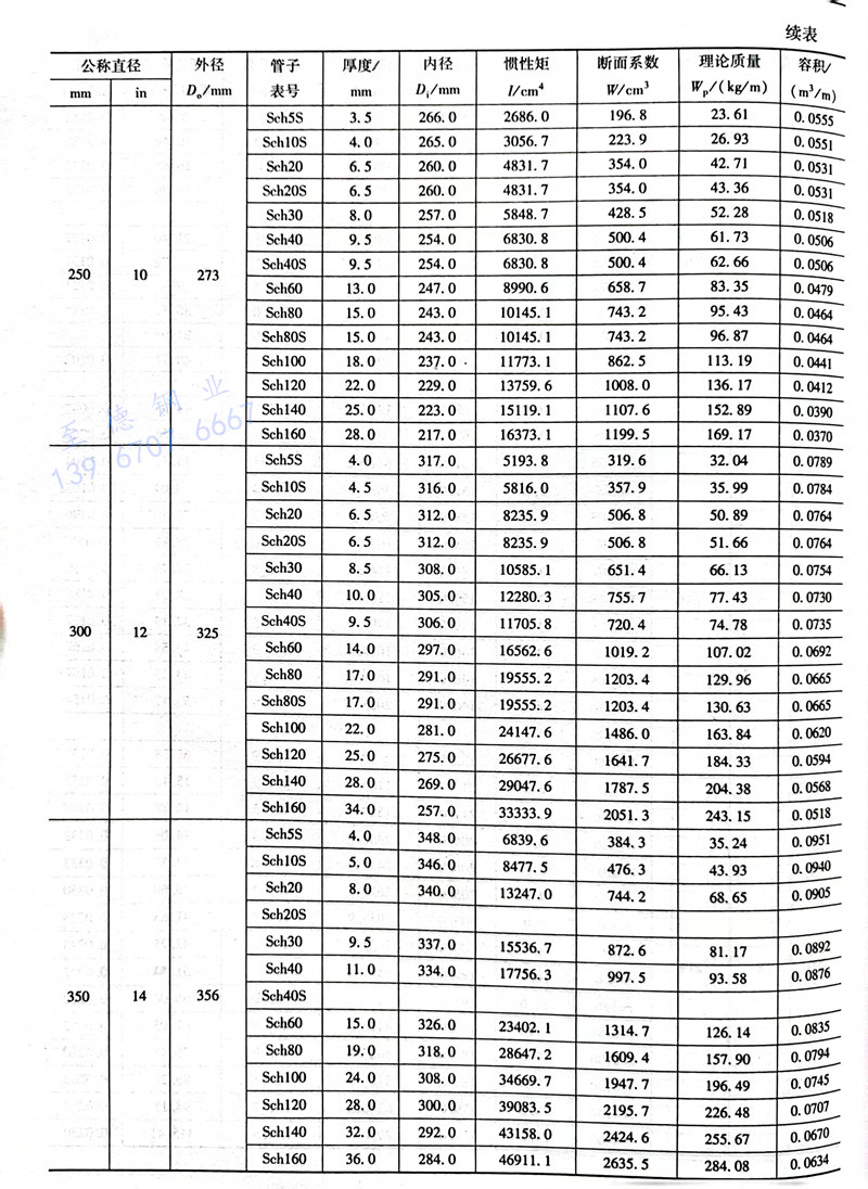
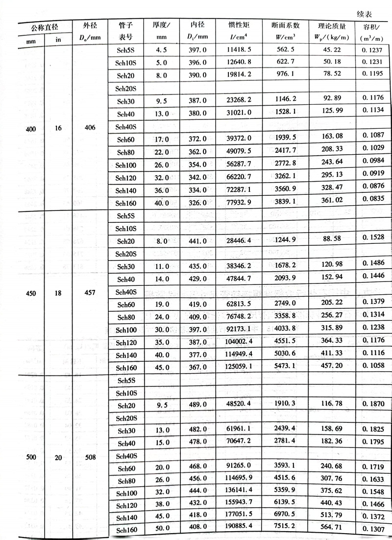
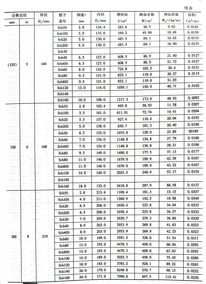
中国石化行业标准碳素钢、低合金钢、合金钢、奥氏体不锈钢无缝钢管尺寸及特性数据见表4.1.14。
表4.1.14 中国石化行业标准碳素钢、低合金钢、合金钢、奥氏体不锈钢无缝钢管尺寸及特性数据