1. ASME B31.3壁厚设计计算与对比分析


从上面的推导过程可知,对于理想的薄壁圆筒管状设备,如果要使其强度承受给定内压而不致破坏,所取的计算厚度应与内压和管子直径的乘积成正比,与材料的许用应力成反比。经过多年发展和对公式的不断修正,形成了目前广泛认可的ASME B31.3经典壁厚计算公式(3.3.4)或式(3.3.5)。
2. ASME B31.3管道壁厚计算方法
(1)管道的直管部分所要求的厚度应按公式(3.3.4)确定:
tm=t+c (3.3.4)
考虑到钢厂的负偏差,应选用管道最小壁厚T≥tm
(2)直管的压力设计公式中的代号意义如下:
c--机械裕量(螺纹或沟槽深度)与腐蚀和磨蚀裕量的总和。对于带螺纹的组件,应采用公称螺纹深度(ASME B1.20.1的尺寸h或相当的尺寸);对于没有规定公差的机加工表面或槽,应在规定的切削深度加上0.5mm(0.02in)的公差;
d--管道内径。对于压力设计计算时,管道内径应是采购技术条件下的最大值;
D--管道的外径,如标准或技术条件表列或实测;
E--ASME B31.3表A-1A或A1-1B所列质量系数;
p--设计内压(表压);
S--材料的许用应力,见ASME B31.3表A-1;
T--管壁厚(实测或按采购技术条件中的最小壁厚);
tm--包括机加工、腐蚀和磨蚀裕量在内的所需最小厚度;
t--压力设计厚度;
W--焊缝结构强度降低系数。
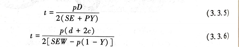
W 是考虑蠕变温度下新加的一个小于或等于1的系数。实际上式(3.3.5)和式(3.3.6)最初来源于较精确且较复杂的拉美(Lamé)公式(在1883年提出)的经验近似式。
焊缝接头强度降低系数W是引起焊缝接头失效的名义应力与相同持久时间母材失效的名义应力的比,在缺少更多可用数据的情况下(如蠕变试验),对于所有材料,在温度不大于510℃(950℉)时,应取为1.0,在温度815℃(1500°℉)时,应取为0.5。中间温度的强度降低系数应使用线性内插法取得。对于温度高于815℃(1500°℉)的情况,由设计者负责确定强度降低系数。
使用焊缝接头的蠕变试验来确定强度降低系数时,宜使用全厚度横截面焊缝试样试验,其持久时间不低于1000h。除非设计者考虑由于横穿焊缝应力重新分配的影响,应使用全厚度焊缝试样。
Y--当t/D/6时从ASME B31.3表查得系数,见表3.3.18。对于中间温度,Y值可用内插法求得。

(3)承受内压的直管。
①. 当t<D/6时,直管的内压设计厚度,应不小于式(3.3.5)或式(3.3.6)计算出的厚度:

②. 当t≥D/6时或p/SE>0.385时,直管的内压设计厚度要对诸如失效机理、疲劳影响和热应力等因素予以特殊考虑。
(4)承受外压的直管。
确定承受外压的直管的壁厚和刚性加强要求时,应遵照BPV规范VII卷第1册UG-28至UG-30规定的程序,使用UG-29规定的两刚性加强圈断面中心线间长度作为设计长度Lo。作为例外的是当P.2的S值应是在设计温度下管道材料下列数值中较小值:
①. 1.5倍ASME B31.3附录表A-1的许用应力;
②. 0.9倍列于第II卷D篇表Y-1相应材料屈服强度。
(第VII卷中的符号D。相当于ASME B31.3中的D)

