bb708电子游戏娱乐-手机App下载
首页
关于我们
公司简介
企业理念
核心服务
荣誉证书
新闻中心
企业资讯
行业新闻
产品中心
不锈钢管
不锈钢管件
不锈钢法兰
预制件加工
车间设备
生产设备
检测设备
质保体系
体系认证
售后服务
联系我们
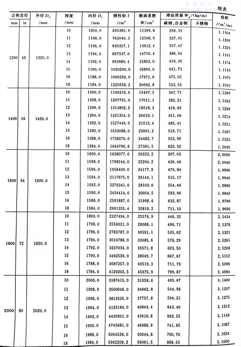
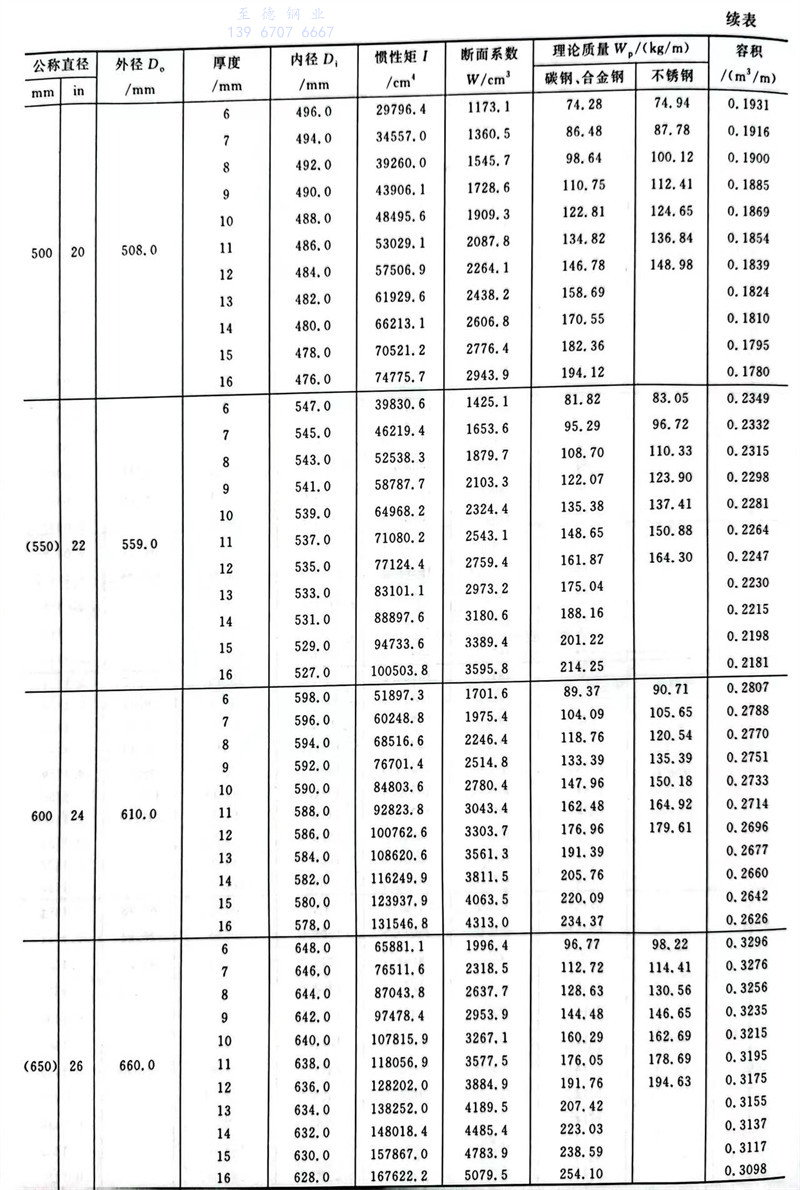
中国石化标准焊接钢管尺寸及特性数据表
发布日期:2023-02-11 16:29:21 人气:384
中国石化标准
焊接钢管
尺寸及特性数据表见表 4-23
钢板制对焊管件符号、种类和代号
至德钢业地上水管道的配管设计规范
猜你喜欢