bb708电子游戏娱乐-手机App下载
首页
关于我们
公司简介
企业理念
核心服务
荣誉证书
新闻中心
企业资讯
行业新闻
产品中心
不锈钢管
不锈钢管件
不锈钢法兰
预制件加工
车间设备
生产设备
检测设备
质保体系
体系认证
售后服务
联系我们
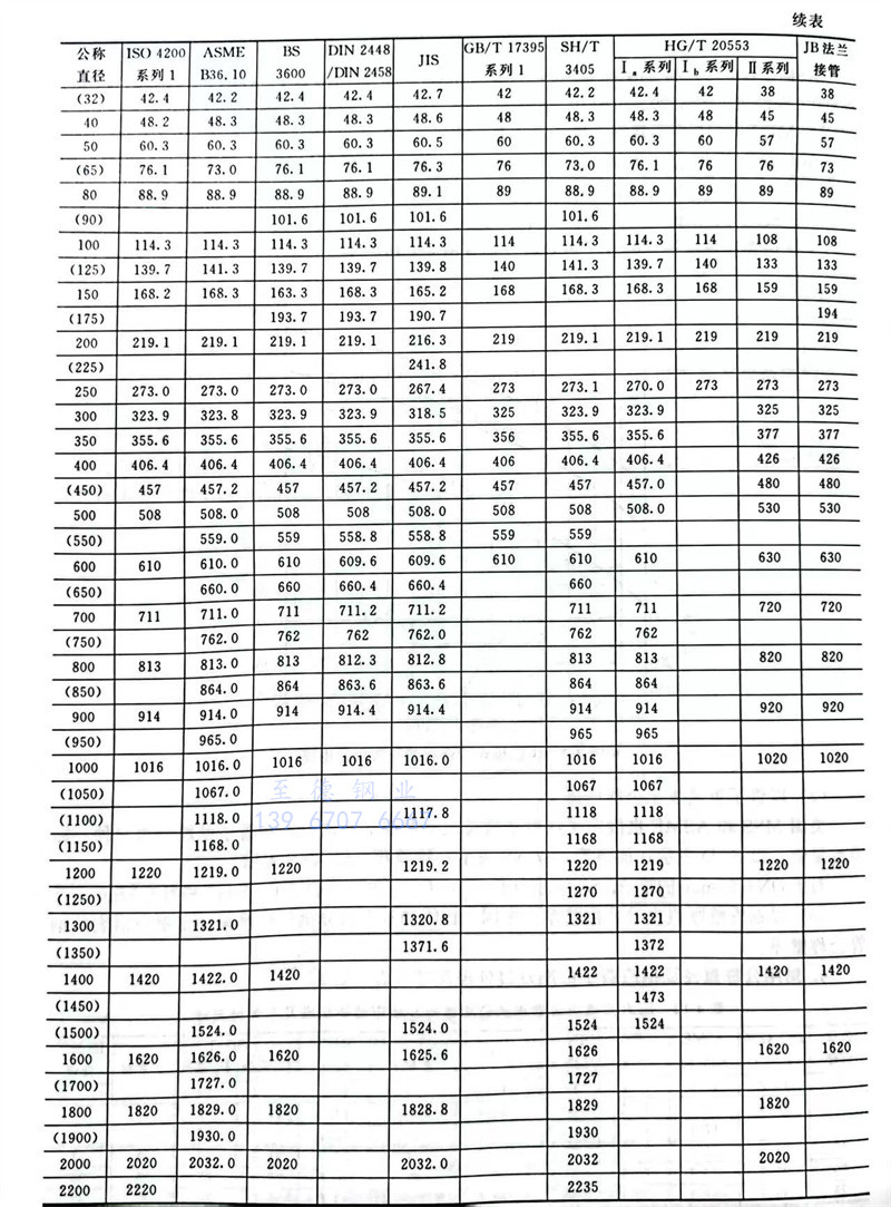
国标美标日标欧标不锈钢管公称直径及其外径尺寸规格对照表
发布日期:2022-12-10 16:12:43 人气:640
国标美标日标欧标
不锈钢管
公称直径及相应管子标准及其外径尺寸规格对照表
S30403 00Cr19Ni10 不锈钢标准牌号化学成分及主要特性和用途
球墨铸铁管件法兰盘的结构型式与尺寸
猜你喜欢
浙江温州钢管厂家304不锈钢管常用规格价格表