钢管的壁厚计算方法,在ASME B31.3、GB 50316、SH/T 3509等标准规范中均有详细的介绍。钢管壁厚的表示方法在不同的标准中各不相同,但主要有三种。
1. 以管子表号表示公称壁厚 此种表示方法以ASME B36.10《焊接和无缝钢管》为代表并为其他许多标准所采用,常以“Sch”标示。
管子表号是管子设计压力与设计温度下材料许用应力的比值乘以1000,并经圆整后的数值。
ASME B36.10和JIS标准中管子表号有:Sch10、Sch20、Sch30、Sch40、Sch60、Sch80、Sch100、Sch120、Sch140、Sch160。
ASME B36.19中不锈钢管管子表号有:Sch5s、Sch1Os、Sch40s、Sch80s。
中国石化集团公司标准SH/T 3405中,无缝钢管采用了Sch20、Sch30、Sch40、Sch60、Sch80、Sch100、Sch120、Sch140、Sch160九个表号,不锈钢管采用了Sch5s、Sch10s、Sch20s、Sch40s、Sch80s五个表号。
无缝钢管和焊接钢管的管子表号可分别查图4-1和图4-2确定。


2. 以管子重量表示公称壁厚
美国MSS和ASME也规定了以管子重量表示壁厚的方法,并将管子壁厚分为三种:标准重量管,以STD表示;加厚管,以XS表示;特厚管,以XXS表示。
对于DN≤250mm的管子,Sch40相当于STD;DN<200mm的管子,Sch80相当于XS。
3. 以钢管壁厚值表示公称壁厚 中国、ISO和日本部分钢管标准采用了壁厚值表示钢管公称壁厚。
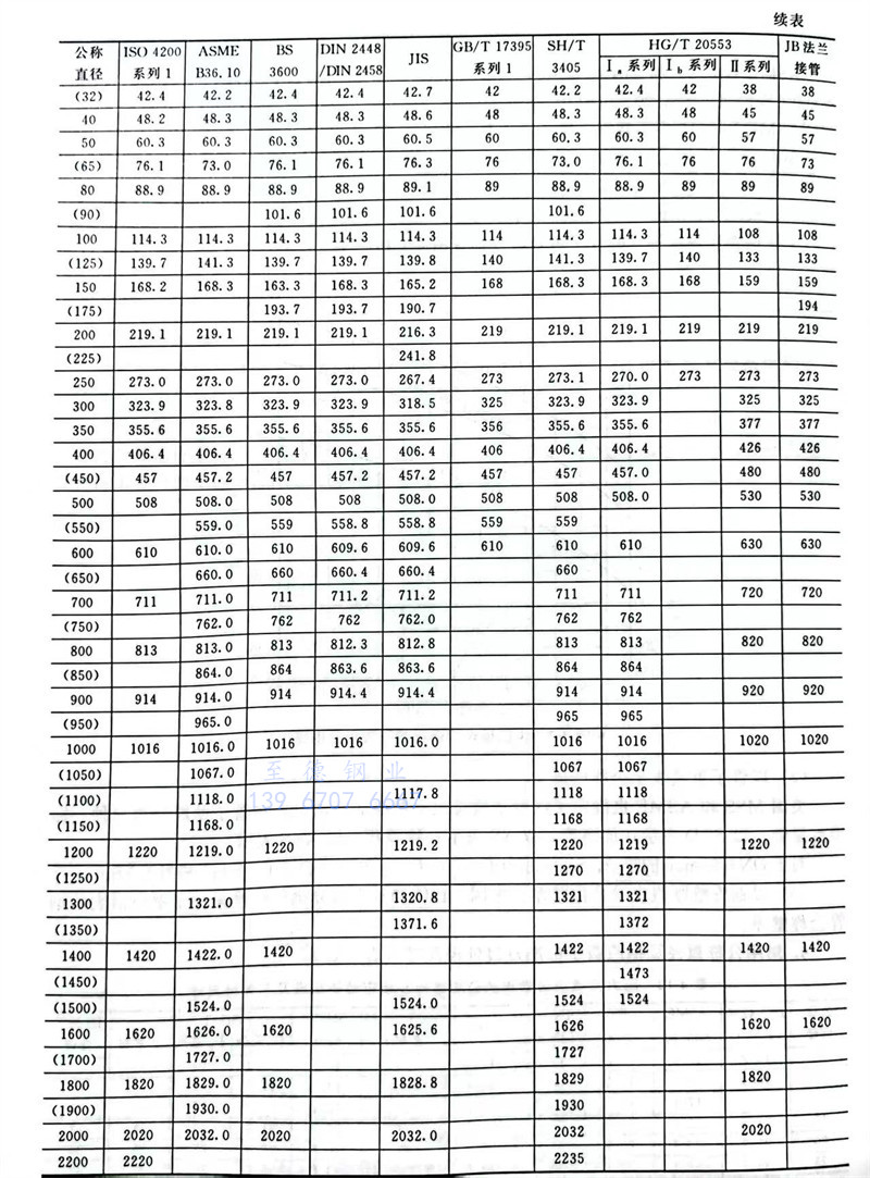
4.常用公称直径及相应管子标准及其外径尺寸(表4-12)



