管件的尺寸分为以米制单位表示的管件和以英制单位表示的管件两个系列。
在米制单位表示的管件尺寸中,管件端部外径(即与管子外径相配的坡口处外径)分为Ⅰ及Ⅱ两个系列,Ⅰ系列为国际通用系列。
由于米制单位和英制单位的管件不能做到精确的等同,因此使用者必须分别采用两种单位制。对于尺寸为米制单位的管件,其公称尺寸用DN表示;对于尺寸为英制单位的管件,其公称尺寸用NPS表示。两者之间的关系见表9-2。

1. 米制尺寸
长半径弯头型式见图 9-1,尺寸见表 9-3 。

90°长半径弯头型式见图 9-2,尺寸见表 9-4 。


90°短半径弯头型式见图 9-3,尺寸见表 9-5 。

等径三通和四通型式见图 9-4,尺寸见表 9-6 。


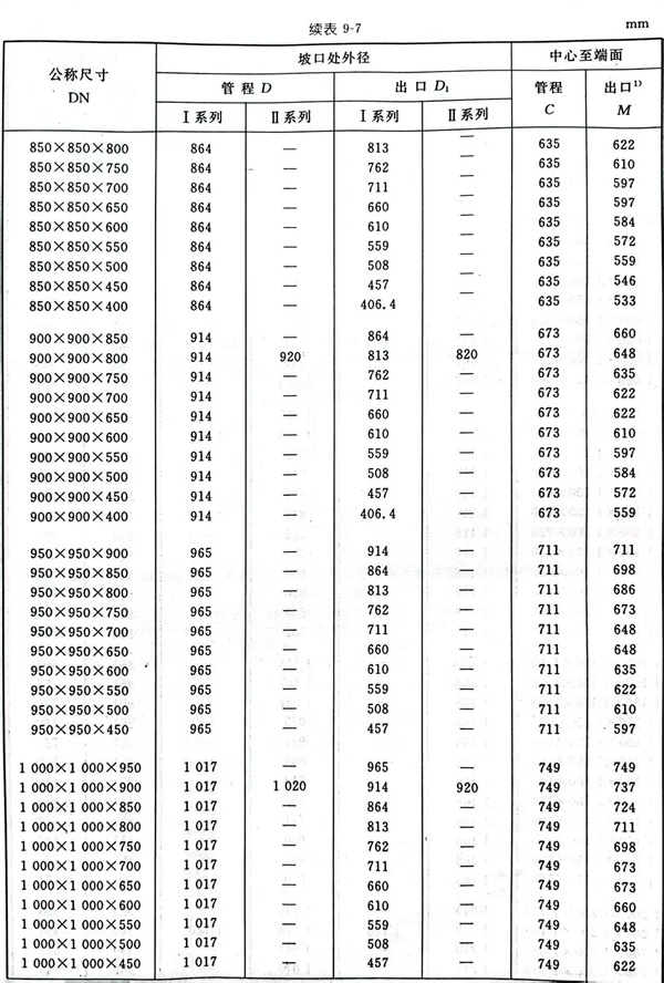
异径三通和四通型式见图 9-5,尺寸见表 9-7 。






管帽型式见图 9-6,尺寸见表 9-8 。


异径接头型式见图 9-7,尺寸见表 9-9 。




2. 英制尺寸
长半径弯头型式见图 9-8,尺寸见表 9-10 。

长半径弯头型式见图 9-9,尺寸见表 9-11 。

短半径弯头型式见图 9-10,尺寸见表 9-12 。


等径三通和四通型式见图 9-11,尺寸见表 9-13 。

异径三通和四通型式见图 9-12,尺寸见表 9-14 。



管帽型式见图 9-13,尺寸见表 9-15 。

异径接头型式见图 9-14,尺寸见表 9-16 。



