管件的型式与尺寸分为以米制单位表示的管件和以英制单位表示的管件两个系列。
在米制单位表示的管件尺寸中,管件端部外径(即与管子外径相配的坡口处外径)分为Ⅰ及Ⅱ两个系列,Ⅰ系列为国际通用系列。
由于米制单位和英制单位的管件不能做到精确的等同,因此使用者必须分别采用两种单位制。对于尺寸为米制单位的管件,其公称尺寸用DN表示;对于尺寸为英制单位的管件,其公称尺寸用NPS表示。两者之间的关系见表8-2。

一、米制尺寸
1. 长半径弯头型式见图 8-1,尺寸见表 8-3 。


2. 长半径异径弯头型式见图 8-2,尺寸见表 8-4 。


3. 长半径180°弯头型式见图 8-3,尺寸见表 8-5 。

4. 短半径弯头型式见图 8-4,尺寸见表 8-6 。

5. 短半径180°弯头型式见图 8-5,尺寸见表 8-7 。


6. 等径三通和四通型式见图 8-6,尺寸见表 8-8 。


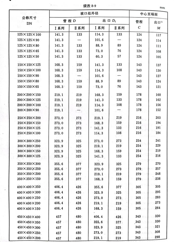
7. 异径三通和四通型式见图 8-7,尺寸见表 8-9 。





8. 翻边短节型式见图 8-8,尺寸见表 8-10 。


注:1.公差见表8-23。
2.使用条件和连接结构通常决定对短节的长度要求,因此,在订货时采购方必须规定是长型或短型短节。
a. 当短型翻边短节用于PN50和PN110的较大法兰以及大于等于PN150的大部分规格的法兰时;或当长型翻边短节用于PN260和PN420的较大法兰时,为了避免法兰可能影响焊接,可能需要增加接管的长度。长度增加量由制造商与采购方双方协商。
b. 当采用榫槽面和凹凸密封面时,必须增加搭接边的厚度。增加厚度应附加(不包括)在基本长度F上。
c. 这些尺寸应与GB/T 9118.1~9118.2或ASMEB16.5中的松套法兰的圆角半径相符合。
d. 该尺寸与ASME B16.5中表示的标准机加工面相符合。搭接边的背面应进行机加工,使其与安装表面一致。当采用环连接密封面时,使用ASMEB16.5中给出的尺寸K。
9. 管帽型式见图 8-9,尺寸见表 8-11 。

10. 异径接头型式见图 8-10,尺寸见表 8-12 。



二、英制尺寸
1. 长半径弯头型式见图 8-11,尺寸见表 8-13 。

2. 长半径异径弯头型式见图 8-12,尺寸见表 8-14 。


3. 长半径180°弯头型式见图 8-13,尺寸见表 8-15 。


4. 短半径弯头型式见图 8-14,尺寸见表 8-16 。

5. 短半径180°弯头型式见图 8-15,尺寸见表 8-17 。

6. 等径三通和四通型式见图 8-16,尺寸见表 8-18 。


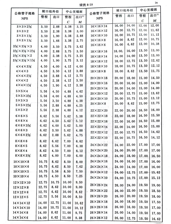
7. 异径三通和四通型式见图 8-17,尺寸见表 8-19 。



8. 翻边短节型式见图 8-18,尺寸见表 8-20 。


注:1.公差见图8-21。
2.使用条件和接头结构通常决定对短节的长度要求,因此,在采购时采购方必须规定是长型或短型短节。
1)当短型翻边短节用于300磅级和600磅级的较大法兰以及大于等于900磅级的大部分规格的法兰时,当长型翻边短节用于1500磅级和2500磅级的较大法兰时,为了避免法兰可能影响焊接,可能需要增加接管的长度。长度的增加量由制造厂与采购方双方协商。
2)当采用如榫槽面,凹凸密封面时,必须增加搭接边的厚度。增加厚度应在基本长度F之外(不包括在基本长度内)。
3)这些尺寸应与ASME B16.5《管法兰和法兰管件》中松套法兰的圆角半径相符。
4)该尺寸与ASME B16.5中表示的标准机加工面一致。搭接边的背面应进行机加工,使与其安装表面一致。当采用环连接面时使用ASMEB16.5中给出的尺寸K。
9. 管帽型式见图 8-19,尺寸见表 8-21 。


10. 异径接头型式见图 8-20,尺寸见表 8-22 。



