球墨铸铁承接管件结构型式与尺寸如下:
盘承套管型式见图6-19a),尺寸见表6-19;盘承短管型式见图6-19b),尺寸见表6-19。


盘插型式见图6-20a),尺寸见表6-20;承套型式见图6-20b),尺寸见表6-20;


双承和承插90°(1/4)弯管型式见图6-21,尺寸见表6-21。双承和承插45°(1/8)弯管型式见图6-22,尺寸见表6-21。


双承和承插22°30'(1/16)弯管型式见图6-23,尺寸见表6-22。双承和承插11°15'(1/32)弯管型式见图6-24,尺寸见表6-22。


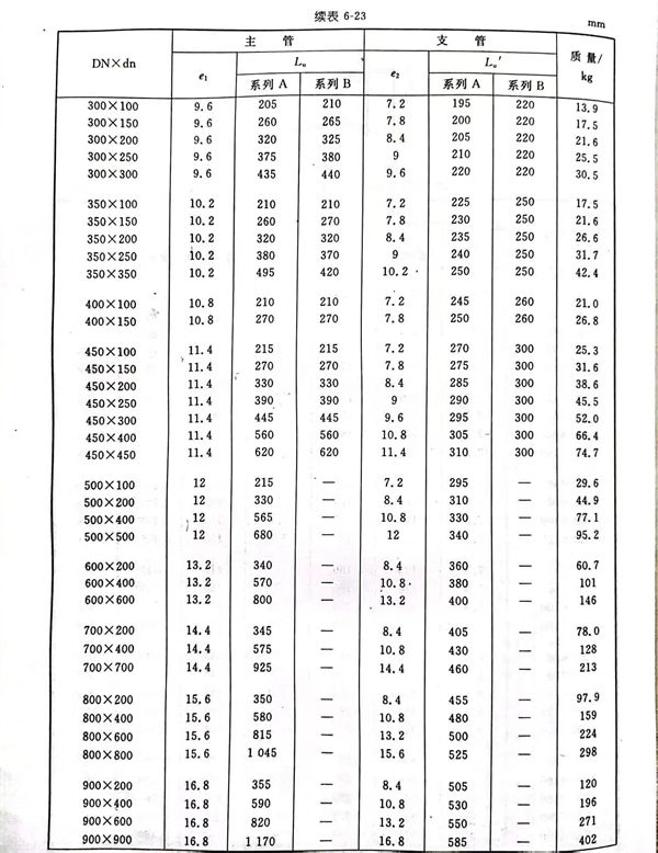
全承三通型式见图 6-25 ,尺寸见表 6-23 。



双承单支盘三通型式见图 6-26 ,尺寸见表 6-24 。



双承渐缩管型式见图 6-27 ,尺寸见表 6-25 。


双承一丝丁字管型式见图 6-28 ,尺寸见表 6-26 。

双承和承插乙字管型式见图 6-29 ,尺寸见表 6-27 。

双承丁字管型式见图 6-30 ,尺寸见表 6-28 。


全承四通型式见图 6-31 ,尺寸见表 6-29 。


插堵型式见图 6-32 ,尺寸见表 6-30 。

滑入式和机械式承堵型式见图 6-33 ,尺寸见表 6-31 。



