通用管件系指量大、面广且适用于各行各业的管件(通常有国家标准)。通用管件包括给水用灰铸铁管件;排水用灰铸铁管及管件;球墨铸铁管、管件和附件;可锻铸铁管件;钢制对焊无缝管件;钢板制对焊管件;锻钢制承插焊管件及锻钢制螺纹管件等8部分内容。
给水用灰铸铁管件结构型式与尺寸
1. 承盘短管型式见图 4-3 ,尺寸见表 4-4 。

2. 承插盘短管型式见图 4-4 ,尺寸见表 4-5 。

3. 套管型式见图 4-5 ,尺寸见表 4-6 。

4. 90°双承弯管型式见图 4-6 ,尺寸见表 4-7 。

5. 45°双承弯管型式见图 4-7 ,尺寸见表 4-8 。

6. 22.5°双承弯管型式见图 4-8 ,尺寸见表 4-9 。

7. 11.25°双承弯管型式见图 4-9 ,尺寸见表 4-10 。

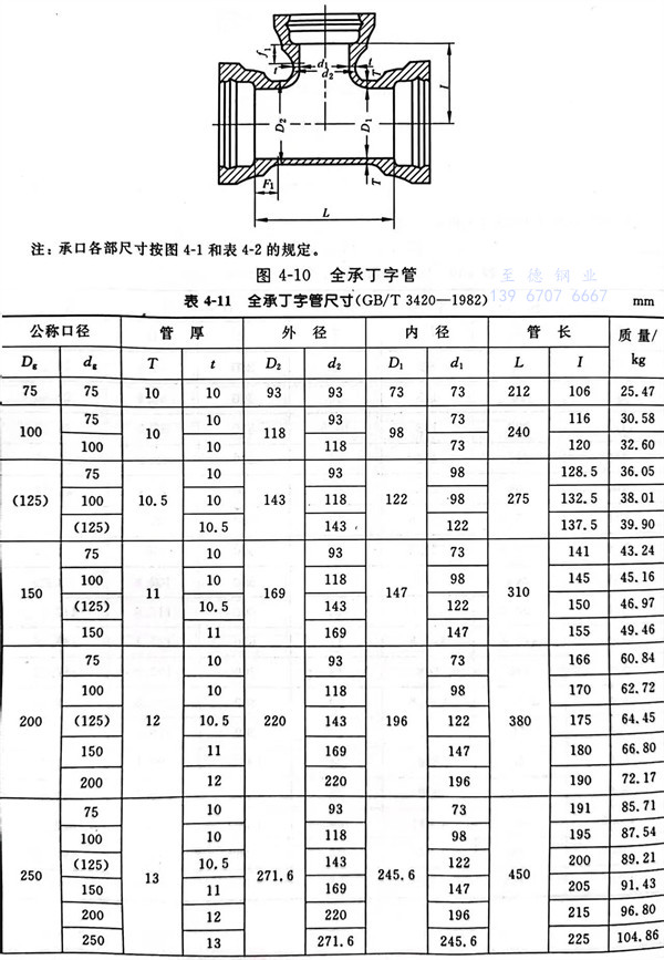
8. 全承丁字管型式见图 4-10 ,尺寸见表 4-11 。




9. 全承十字管型式见图 4-11 ,尺寸见表 4-12 。


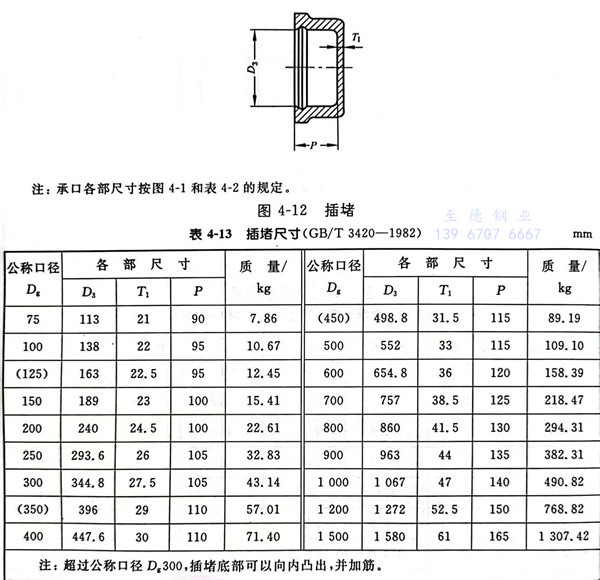
10. 插堵型式见图 4-12 ,尺寸见表 4-13 。

11. 承堵型式见图 4-13 ,尺寸见表 4-14 。

12. 90°双盘弯管型式见图 4-14 ,尺寸见表 4-15 。


13. 45°双盘弯管型式见图 4-15 ,尺寸见表 4-16 。

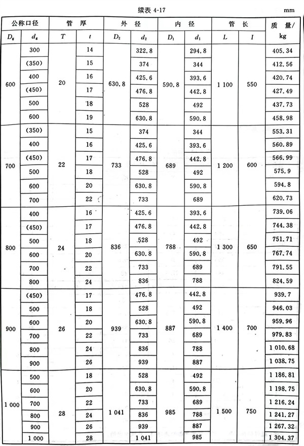
14. 三盘丁字管型式见图 4-16 ,尺寸见表 4-17 。



15. 盲法兰盘型式见图 4-17 ,尺寸见表 4-18 。

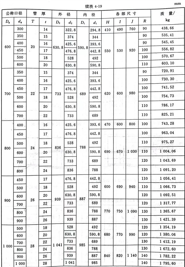
16. 双承丁字管型式见图 4-18 ,尺寸见表 4-19 。




17. 承插渐缩管及插承渐缩管型式见图 4-19和图 4-20 ,尺寸见表 4-20 。



18. 90°承插弯管型式见图 4-21 ,尺寸见表 4-21。
19. 45°承插弯管型式见图 4-22 ,尺寸见表 4-22 。


20. 22.5°承插弯管型式见图 4-23 ,尺寸见表 4-23 。

21. 11.25°承插弯管型式见图 4-24 ,尺寸见表 4-24 。


22. 乙字管型式见图 4-25 ,尺寸见表 4-25 。


23. 承插单盘排气管型式见图 4-26 ,尺寸见表 4-26 。


24. 承插泄水管型式见图 4-27 ,尺寸见表 4-27 。


