柔性石墨金属波齿复合垫片是由柔性石墨做成的金属波齿复合垫片是在机械加工成波齿状的金属板两面覆盖上柔性石墨的一种复合垫片。这种垫片既有金属的强度,又有波纹弹性的特点,最高使用温度可达到650℃左右;适用公称压力用PN标记的法兰用垫片尺寸的最高压力可达250bar;适用公称压力用Class标记的法兰用垫片尺寸的最高压力可达到1500磅级(PN260bar).此种垫片通常用于突面、凹凸面及榫槽面带颈对焊钢制管法兰、压力容器法兰、阀门及换热器等管道和设备的密封。
一、型式及代号
1. 型式
柔性石墨金属波齿复合垫片,按结构的不同可分为基本型、带定位环型及带定位耳型3种型式。
a. 基本型
基本型柔性石墨金属波齿复合垫片适用于榫槽面和凹凸面法兰,其结构型式如图13-23所示。

b. 带定位环型
带定位环型柔性石墨金属波齿复合垫片适用于全平面和突面密封面法兰,其结构型式如图13-24所示。

c. 带定位耳型
带定位耳型柔性石墨金属波齿复合垫片适用于全平面和突面密封面法兰,其结构型式如图13-25所示。

2. 代号
a. 垫片的型式代号见表 13-36。

b. 金属骨架的常用材料代号见表 13-37。

二、尺寸及公差
1. 公称压力用 PN 标记的法兰用垫片尺寸
a. 榫槽面法兰用基本型垫片尺寸见图 13-23 和 表 13-38。

b. 凹凸面法兰用基本型垫片尺寸见图 13-23 和 表 13-39。

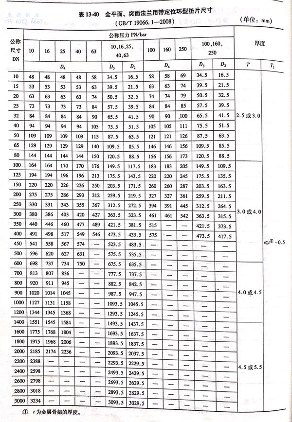
c. 全平面、突面法兰用带定位环型垫片尺寸见图 13-24 和 表 13-40。

d. 全平面、突面法兰用带定位耳环型垫片尺寸见图 13-25 和 表 13-41。


2. 公称压力用 Class 标记的法兰用垫片尺寸
a. 榫槽面法兰用基本型垫片尺寸见图 13-23 和 表 13-42。

b. 凹凸面法兰用基本型垫片尺寸见图 13-23 和 表 13-43。

c. 全平面、突面法兰用带定位环型垫片尺寸见图 13-24 和 表 13-44。

d. 全平面、突面法兰用带定位耳环型垫片尺寸见图 13-25 和 表 13-45。

3. 公称压力用Class 标记的大直径钢制管法兰用垫片尺寸
a. 公称压力用Class 标记的A系列大直径突面法兰用带定位环型的垫片尺寸见图13-24和表13-46。

b. 公称压力用Class 标记的B系列大直径突面法兰用带定位环型垫片尺寸见图13-24和表13-47。

c. 公称压力用Class 标记的A系列大直径突面法兰用带定位耳型垫片的尺寸见图13-26和表13-48.


d. 公称压力用Class标记的B系列大直径突面法用带定位耳型的垫片尺寸见图13-26和表13-49。

4. 金属骨架尺寸的极限偏差
金属波齿复合垫片金属骨架尺寸的极限偏差见表13-50.复合后的垫片外径和密封元件宽度的极限偏差与金属骨架的相同。
5. 垫片厚度公差
垫片厚度的极限偏差见表13-51;波齿深度以及波齿圆弧半径的尺寸及其极限偏差由制造厂(商)进行确定。
6. 尺寸极限偏差
大直径法兰用柔性石墨金属波齿复合垫片尺寸极限偏差见表13-52.

三、技术要求
1. 金属骨架
a. 金属骨架材料及硬度要求见表13-53.材料的机械性能和化学成分应符合相应标准的规定。
b. 金属骨架一般使用整张金属板制作,若受材料宽度限制需拼接时,其拼接接头的数量应有所限制。拼接接头的数量见表13-54.对接切口应采用氩弧焊或电焊对接焊缝必须打磨与母材齐平,焊缝处不应出现夹渣、气孔等影响焊接接头质量的缺陷。
c. 金属骨架的结构见图13-27,其结构尺寸和参数由制造厂(商)设计确定,并确保金属骨架两侧面波峰与波谷应错开1/2齿距,波齿距一致,波齿圆弧半径相等,所有齿尖应在一个平面内,骨架无明显翘曲变形。成形后的金属骨架任意两点厚度偏差在制作骨架的板材厚度偏差范围之内。
d. 定位环(包括定位耳环)厚度T1通常为T1≤t-0.5,定位环可直接与波齿部分一起加工成一整体。定位环采用碳钢材料时,其表面应进行防锈处理。
e. 当垫片单边宽度较窄时,宜采用较小的波齿距,并使单边不得少于3个齿尖,以保证密封性能。
2. 垫片的复合
a. 垫片用粘合剂应按有关标准规定,柔性石墨应符合JB/T 7758.2《柔性石墨板技术条件》的规定。
b. 垫片复合后的截面图见图13-28.垫片的公称厚度T一般为2.5、3.0、4.0和4.5mm四种,特殊厚度的垫片可根据用户要求制作。

c. 柔性石墨与金属骨架复合后应不脱胶,附着牢固,粘合无多余飞边。垫片厚度均匀一致,表面光滑平整,不允许有影响密封性能的径向贯通划伤、压痕及凹凸不平等缺陷。
d. 大规格垫片(DN≥300mm)石墨允许搭接,搭接部分的宽度为1~3mm,应采用斜口搭接,上下层搭接部分不能重叠,搭接处应光滑过渡。
3. 性能
柔性石墨金属波齿复合垫片各项力学性能及密封性能指标见表13-55.

四、标记及标志
1. 标记
a. 标记方法

b. 标记示例
垫片型式:带定位环型;金属骨架材料:06Cr19Ni10;公称尺寸:DN150;公称压力:PN40;垫片标准:GB/T 19066.1;其标记为:
波齿垫 B4-DN150-PN40 GB/T 19066.1
2. 标志
按GB/T 19066.3-2003《柔性石墨金属波齿复合垫片技术条件》规定:经检验合格的产品,制造厂应填写产品合格证作为标志,并随产品一起装箱发送。合格证包括以下各项内容:
a. 产品标记。
b. 产品规格及符合标准的编号。
c. 产品批号。
d. 生产日期。
e. 检验日期及检验者姓名、代号。
f. 制造厂名称。
g. 商标。

