一、通用金属环形垫片型式、尺寸及公差
1. 型式与尺寸
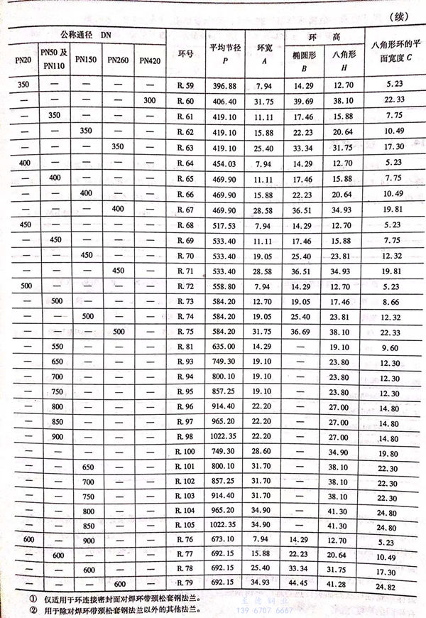
金属环形垫片按截面形状分为八角形和椭圆形两种结构,如图14-1所示,尺寸见表14-1.



2. 尺寸公差
金属环形垫片的尺寸极限偏差见表 14-2。

二、通用金属环形垫片技术要求
1. 材料
金属环垫坯料的化学成分应符合相应标准的规定,其中软铁的化学成分应符合表14-3的规定,常用材料的牌号、代号、推荐最高使用温度和执行标准见表14-4。根据供需双方协商,允许采用表14-4之外的其他材料,其性能应符合相关标准要求。

2. 硬度
金属环垫的硬度一般应低于法兰材料,以确保紧密连接。合金及不锈钢法兰用金属环垫的硬度值由供需双方协商确定。同一金属环垫的硬度应均匀,其极差不得超过10HBW,测试各点的硬度不得超过表14-5的规定。常用材料的金属环垫推荐最大硬度值见表14-5。

在某些情况下,金属环垫的硬度值可能不低于法兰合金材料的硬度值。例如,为了获得最佳耐腐蚀性状态而进行热处理的不锈钢法兰;与退火至最低硬度的同样材料制成的环垫具有相同的硬度范围。
3. 表面粗糙度
金属环垫的密封面(八角垫的斜面、椭圆垫的圆弧面)不得有划痕、磕痕、裂纹和凹坑,表面粗糙度不大于Ra1.6μm.
三、通用金属环形垫片标记
1. 标记方法
金属环形垫片的标记由垫片形式、环号-垫片材料牌号和垫片标准号组成。
2. 标记示例
号为20, 材料为0Cr19Ni9 的八角形金属环垫片,其标记为:八角垫 R.20-0Cr19Ni9 GB/T 9128

