1. 用PN标记的整体钢制管法兰的密封面型式及适用的公称压力和公称尺寸范围见表 6-1。

2. 用PN标记的整体钢制管法兰的结构型式包括平面型、突面型、凹凸面型、榫槽面型、O形圈面型及环连接面型等6种,如图6-1~图6-6所示。


3. 用PN标记的整体钢制管法兰密封尺寸见图6-2~图6-5及表6-2。用PN标记的法兰环连接面尺寸见图6-6及表6-3.


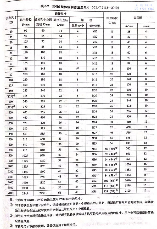
4. 用PN 标记的整体钢制管法兰的结构尺寸见图 6-1 ~ 图 6-6 及表 6-4 ~表 6-15。




注:公称尺寸DN10~DN40的法兰使用PN40法兰的尺寸;公称尺寸DN50~DN150的法兰使用PN16法兰的尺寸。
①. 对于铸铁法兰和铜合金法兰,该规格的法兰可能是4个螺栓孔的,因此,当制造厂和用户协商同意后,与铸铁法兰和铜合金法兰配对使用的钢制法兰可以采用4个螺栓孔。
②. 括号内尺寸为原标准法兰厚度,对于现有设备或供需双方认可仍可采用括号内的尺寸,用户也可以根据计算确定法兰厚度。
③. 带括号尺寸不推荐使用,并且仅适用于船用法兰。

注:公称尺寸DN10~DN40的法兰使用PN40法兰的尺寸。
①. 对于铸铁法兰和铜合金法兰,该规格的法兰可能是4个螺栓孔的,因此,当制造厂和用户协商同意后,与铸铁法兰和铜合金法兰配对使用的钢制法兰可以采用4个螺栓孔。
②. 括号内尺寸为原标准法兰厚度,对于现有设备或供需双方认可仍可采用括号内的尺寸,用户也可以根据计算确定法兰厚度。
③. 带括号尺寸不推荐使用,并且仅适用于船用法兰。

注:公称尺寸DN10~DN150的法兰使用PN40法兰的尺寸。
①. 括号内尺寸为原标准法兰厚度,对于现有设备或供需双方认可仍可采用括号内的尺寸,用户也可以根据计算确定法兰厚度。
②. 带括号尺寸不推荐使用,并且仅适用于船用法兰。





