应力腐蚀可能会引起设备的泄漏、断裂、爆炸等后果,不同的设备和应用场所对失效后果的接受程度是不同的。例如,对于以水为介质的设备,泄漏会引起经济损失,但是对环境和人类生命安全的危害较小,是人们可以接受的;但是如果设备内介质是有毒介质、易燃易爆介质,泄漏的危害是较大的。因此,我们根据后果的严重程度,可以采用不同的失效准则,bb708电子游戏娱乐本次主要讨论裂纹启裂、泄漏和断裂三种失效概率问题。
一、启裂失效概率分析模型
在压力容器和管道一类承压设备中,内部介质大多易燃、易爆、有毒,设备一旦发生泄漏或其他形式的破坏,将带来严重的后果,因此,国家和企业对这类设备安全性的要求更高。在可靠性分析中,对于“失效”的理解范围更广,我们甚至可以认为一旦裂纹产生,即使没有发生泄漏和断裂,设备处于失效状态。即把裂纹启裂作为失效的标准。
1. 启裂失效准则
应力腐蚀的产生也是经过两个阶段:裂纹萌生、裂纹扩展。在实践中观察发现,很多应力腐蚀裂纹是在点蚀坑的基础上进行扩展。根据对已有研究的总结,产生裂纹的点蚀坑的形状可以表述为半椭球形。相对于产生点蚀的结构来说,点蚀坑的尺寸很微小,因此,在垂直于拉应力的截面上,点蚀坑可以作为深度是a、长度是2c的半椭圆形表面裂纹,如图6-6所示。当只考虑拉应力。时,图6-6所示裂纹的应力强度因子是

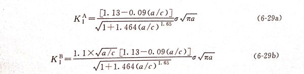
一般来说,表面微裂纹的深度a远小于设备的壁厚B,因此,我们可以不考虑壁厚对A、B处应力强度因子的影响,则其应力强度因子为:

从式(6-29)可以看出,两处应力形状因子的大小与a/c密切相关,图6-7给出了形状因子Y与a/c的对应关系。从图中可以看出,YA、YB随a/c值的变化规律是相反的。a/c较小时,即深度较小长度较大的裂纹,A处的应力形状因子较大;随着a/c的增加,即裂纹深度的增加,A处的形状因子减小,B处形状因子增大;当a/c>0.827时,YB>YA。

对于薄壁构件,壁厚的影响必须考虑。当壁厚一定时,Y值只受a和a/c的影响。当a/c=1时,应力形状因子与裂纹深度的对应关系如图6-8所示。图6-8给出了不同壁厚下Y随a的变化趋势,从图中可以看出,随着壁厚的减小,A、B两处的形状因子都增大,因此,当壁厚较小时,壁厚的影响不可忽略。
根据可靠性的概念,当把裂纹萌生作为极限时,从应力场角度分析,结构极限状态方程为


2. 启裂失效概率
根据随机变量模型可知,裂纹启裂失效的不确定性主要由参数的随机性造成,在不考虑环境的影响下,同时假设裂纹萌生于点蚀坑处,SCC裂纹萌生主要受应力大小、蚀坑结构及几何参数以及材料本身的性能(应力腐蚀临界应力强度因子)等影响。根据文献可知,应力可认为是服从正态分布的随机变量。
点蚀坑深度a的随机性与Ip、∅和a0的不确定性有关;应力腐蚀临界应力强度因子KIscc的数值一般由实验测得,其随机性受材料本身性能的分散性、介质中离子浓度、温度等参数的不确定性影响。
根据以上分析可得失效概率表达式

3. 算例
某一设备的材料为304,壁厚B=12mm,表面产生了点蚀,计算该设备裂纹启裂失效的概率。分析过程如下:

二、泄漏失效概率分析模型
1. 泄漏失效准则
应力腐蚀裂纹一旦产生,就会快速扩展,但是扩展方向和扩展速度具有一定随机性。如图6-10是一个应力腐蚀失效案例,可以看出,裂纹在空间三个方向都有扩展。

受结构的影响,以及不同方向裂纹扩展速度的不同,可能会出现以下失效结果:①. 裂纹沿点蚀坑深度(即设备厚度)方向穿透壁面时,沿点蚀坑长度方向的裂纹还未发展到失稳扩展的临界长度,即设备只发生泄漏但并不发生整体性的破坏,称未破先漏;②. 在裂纹沿点蚀坑深度方向穿透设备壁厚前,裂纹沿蚀坑长度方向已达到了临界值,设备将产生很长的表面裂纹,虽然设备既不泄漏也不爆破,但已很脆弱,承受载荷波动或裂纹沿点蚀坑深度方向扩展的能力很差;③. 裂纹沿点蚀坑深度方向和长度方向几乎同时达到了各自的临界值,设备将产生爆破事故。对于第一种应力腐蚀失效形式,人们有足够的时间及时发现泄漏并采取措施,并避免由于快速整体破坏而引起的严重后果。对于低压、无毒和非易燃易爆介质的设备,即使发生微量的泄漏也不会产生严重后果,如蒸汽管道、水煤气废热锅炉中的换热管等,这些设备可以采用泄漏失效准则。
当对设备的可靠性要求较高时,裂纹扩展深度即使小于壁厚,我们也认为是失效。一般把裂纹深度是(0.7~0.85)B作为判断条件。美国ASME-VI-3[45]确定了未破先漏的条件为:

而对于可靠性要求较低的设备,当裂纹穿过整个壁厚时,认为是失效。
泄漏失效的极限状态方程为

观察到的实际裂纹,在壁厚方向的扩展并不与厚度平行,如图6-11(a)所示;并且扩展过程中主裂纹有所分叉,如图6-11(b)所示。因此,采用式(6-33)计算出的裂纹尺寸来判断是否发生泄漏失效较为安全。

2. 泄漏失效概率
泄漏失效的随机性主要是由裂纹尺寸、设备壁厚和结构、载荷等的不确定性引起的。裂纹尺寸的随机性主要受温度、材料性能以及裂纹起始尺寸等参数的不确定性影响。受设备原材料壁厚公差、腐蚀减薄、制造引起的壁厚变化等因素的影响,壁厚B也是一个随机变量。根据随机变量a和B的概率密度函数f(a*)和f(B*),可得到泄漏失效概率表达式为:

3. 算例
在实际案例中,管壳式换热器中换热管和管板连接处换热管发生应力腐蚀泄漏的情况较多,这是由于换热管壁厚较薄,材料的断裂韧度值较大,很容易满足ac>B的条件。采用蒙特卡洛模拟法计算换热管发生应力腐蚀泄漏失效的概率,利用Python 语言编制计算程序(具体计算程序见附录)。所需各变量的分布类型及参数如表6-1所示,模拟结果如图6-12所示。由图6-12可见,在前80天内,换热管发生泄漏失效的概率小于10-4较为安全;随着裂纹尺寸的增长,换热管的可靠性能逐步下降,150天后失效概率值接近1。

三、断裂失效概率分析模型
1. 断裂失效准则
根据线弹性断裂力学理论,应力腐蚀断裂失效的准则主要有两类:一类是从分析裂尖应力应变场强度的角度出发,采用应力强度因子作为参数;另一类是用能量平衡的观点,选用能量释放率作为参数。应力强度因子和能量释放率之间具有对应的关系G1=K1/E'.目前采用线弹性断裂力学理论分析应力腐蚀断裂失效的准则主要是应力强度因子准则,本节笔者采用该准则分析应力腐蚀断裂行为。
根据以上分析可知,K1值随裂纹长度的增加而增大,当K1增大到K1c时,将导致裂纹快速扩展,此时对应的极限状态方程为

2. 断裂失效概率
断裂失效的随机性主要由材料性能的分散性和裂纹尺寸、裂纹形状以及载荷等不确定性引起。KIc值大小代表了材料抵抗裂纹扩展的性能,材料在冶炼、轧制、热处理等过程中不可避免地产生化学成分、显微组织、力学性能等不均匀,使KIc具有本质上的分散性。另外,试样取样方向、厚度等也是引起KIc分散的原因。受设备壁厚、应力状态、加载模式以及工作温度等多方面因素的影响,设备结构真实的K1c值比试验获得的值分散性更大。在一定的范围内,材料厚度较小时,裂纹尖端处于平面应力状态,KIc值较大;当材料厚度较大时,裂纹尖端区域处于平面应变状态,断裂韧度值将逐渐减小,当厚度超过一定值后,断裂韧度值将不再变化,断裂韧度随试样厚度的变化关系如图6-13所示。

适合描述断裂韧度随机性的概率分布类型主要有正态分布、对数正态分布以及威布尔分布。对于服从正态分布的断裂韧度,其概率密度函数为

应力强度因子KI是描述裂纹尖端应力应变场的度量,其不确定性主要是由裂纹尺寸、裂纹形状以及应力等参数的不确定性引起的。应力腐蚀裂纹形状不规则、焊缝部位应力分布的不均匀性,都对K1的不确定性有较大影响。
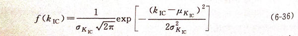
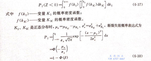
根据Kic和KI的概率分布函数f(kIc)和f(k1),可得到断裂失效概率的表达式

3. 算例
某化工厂一台氢化塔,材料为S30408不锈钢,塔壁厚度为12mm.塔内原料气体中含水,且水中的Cl-含量在20mg/L左右。该塔投入约10年后,人孔平台支腿焊接的部位产生大量的轴向应力腐蚀裂纹,如图6-14所示。

断裂韧度除了服从正态分布外,还服从对数正态分布,图6-15给出了分别服从两种分布时的失效概率情况。分析图6-15发现:分布类型对本次失效概率的计算结果影响较小,只有在裂纹出现的前期有一定影响,此时正态分布对应的失效概率较大。同时,笔者也分析了裂纹深度和长度之比对失效概率的影响,结果如图6-16所示,失效概率随a/c的降低而增大,在裂纹扩展中期a/c影响较大。



