bb708电子游戏娱乐研究人员除了研究点蚀机理及其影响因素之外,关注的重点还有点蚀的随机性。随机性的研究方法可分为两大类:随机变量和随机过程。对于点蚀随机性的研究,集中于20世纪70年代,比较有代表性的是日本的学者。点蚀随机性的研究内容主要包括点蚀的萌生和生长,点蚀萌生又分为亚稳态点蚀和稳态点蚀;对于点蚀生长,重点关注一定时间内产生点蚀的数目以及点蚀坑尺寸的变化。对点蚀电位和点蚀诱导时间进行了统计分析,结果表明点蚀电位服从正态分布,作者深入透彻地介绍了局部腐蚀的统计和随机性研究方法。随机变量的研究重点是参数的概率分布类型,除了考虑变量的随机性,也有的研究人员采用随机过程模型来研究点蚀的随机性。并不是所有的微观点蚀都能够发展成为宏观点蚀,对于亚稳态点蚀,很有可能在后期消失,Williams等在考虑了亚稳态点蚀消灭的前提下,建立了宏观点蚀产生的随机过程模型,模型如下所示:

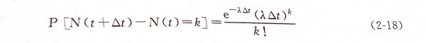
在点蚀随机过程研究中,泊松过程(Poisson process)是常用的一种模型,特别是对于点蚀数量的随机性描述,Poisson过程应用较多。Poisson过程包括齐次泊松过程和非齐次泊松过程。齐次泊松过程属于一种离散的随机过程,采用泊松过程来描述点蚀数目随时间的变化时,认为在时间[t,t+Δt]内产生点蚀的数量与时间t之前出现的点蚀数量无关。泊松分布函数为:

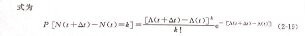
当强度因子λ为非常数时,齐次泊松过程转化为非齐次泊松过程,其表达式为:

齐次 Poisson过程假设每个时间段内平均点蚀的个数是相同的,但是,从实验观察来看,点蚀萌生率在初始阶段较大,后趋于平稳。因此,用非齐次Poisson过程描述点蚀的萌生更符合点蚀发生的实际情况。
在点蚀概率研究中,马尔科夫模型使用比较广。马尔科夫过程(Markorvprocess,也称马氏过程)的特征:在给定当前X(t)情况下,将来状态X(u)(u>t)不受以前状态X(v)(v<t)的影响,即

Hong首次把泊松过程和马尔科夫链结合起来研究点蚀的萌发过程与生长过程。在此基础上,Valor等将点蚀萌生和生长的随机性结合起来研究,点蚀萌生采用非齐次Poisson过程模拟,其中点蚀诱导时间被认为服从Weibull分布;采用非齐次Markov过程模拟点蚀坑的生长,极值统计被用来找出最大点蚀坑的分布,最大点蚀坑的分布受多个点蚀萌生和生长的影响;笔者通过试验对模型的有效性进行了验证。点蚀萌生的随机过程模型是通过实验统计一定时间内点蚀出现的数目,建立点蚀数量与时间之间的关系,侧重于对宏观点蚀的研究。其缺点是没有与点蚀萌生机理很好地结合起来。
1. 点蚀萌生的随机性
当采用随机变量模型时,点蚀萌生的随机性由腐蚀电位和临界点蚀电位的不确定性引起。在实际生产中,介质一般不除氧,介质被空气所饱和,认为Po2=0.21MPa,因此,可以把Po2作为常量。温度T和溶液的pH值是波动较小的变量。ip和io不但与温度和介质有关,还与钝化的性质有关,因此,是两个比较重要而且随时间变化的变量。临界点蚀电位φcp是一个随时间的增加而单调递减的变量。
根据可靠性理论,把腐蚀电位φcott看成作用在结构上的广义应力S,临界点蚀电位φcp是结构的广义抗力R.结构的功能函数可表示为:

当Φcp<φcott时,点蚀就萌生。应力和强度都是与时间有关的随机变量,设f(φcott)和f(φcp)分别为应力和强度的概率密度函数,它们随时间变化情况可用图2-9所示曲线表示。根据应力-强度干涉理论,两条曲线干涉面积的大小反映了点蚀萌生概率的小,但两者在数值上并不相等。

2. 随机变量分布
bb708电子游戏娱乐只对某一时刻的4个变量进行随机性分析,数据来源于304L不锈钢在贫胺液中的电化学实验。实验采用动电位扫描法测极化曲线,扫描速度为10mV/min,因此我们可以把实验得到的点蚀电位作为体系的临界点蚀电位。首先假设4个变量都满足正态分布,根据数据做出频率直方图和理论正态分布密度函数图,如图2-10所示。再对分布进行卡方检验,结果表明4个变量都满足正态分布。


