高合金钢、镍基耐热合金、铸态钼合金、烧结钼锆合金和难熔金属等都属于低塑性难变形材料,在大多数情况下,甚至在采用挤压工艺加工时,也显得可塑性不足。在挤压这类材料时,金属的连续性容易遭到破坏。由于引起金属层不均匀的流动而产生的拉伸应力,同时金属与模具接触层的温度比较低,挤压模与挤压芯棒的间隙分布相对于空心坯壁厚的不对称,导致金属流动不对称。金属流动最不均匀的位置是挤压管的内外表面,因此,在挤压管内表面产生缺陷的可能性最大,而外表面则有材料连续性被破坏的危险。
一、提高材料可塑性
材料的可塑性降低,导致挤压钢管表面产生缺陷的可能性增加。坯料表面的接触摩擦不均匀,引起钢管圆周金属流动的不均匀。为了防止挤压制品产生缺陷,均匀地涂敷玻璃润滑剂显得十分重要。除此之外,对于低塑性难变形材料的挤压,还可以采取以下工艺措施来提高材料的可塑性,防止挤压材料连续性的破坏:
1. 包塑性包套
在坯料的内表面上包一层塑性金属,从而在挤压变形时,在塑性包套内承受着最大的拉应力。当被挤压金属的可塑性比较低时,塑性包套包在外表面。包塑性包套有几种方法:a. 套管与坯料用简单的机械结合,这种方法最简单;b. 电解涂层;c. 离心铸造等。在挤压镍合金管(如Ni36GrTiAIMo合金管)时,采用第一种方法包塑性包套,挤压出的镍合金管的内表面质量如图5-4所示。

在挤压镍合金时,用321不锈钢制作坯料内表面的塑性保护套。保护套的厚度与延伸系数有关,挤压后塑性层壁厚为0.8~1.0mm.在挤压Ni38CrTiAlMo5 合金管时,采用3.5mm的碳钢内套,用电焊将碳钢管焊接在坯料上。
2. 采用带锥度的挤压芯棒
在挤压高强度合金时,由于高强度合金的最大变形力很大,为了减小变形力,采用端部带锥度的挤压芯棒。
3. 坯料前端焊接碳钢垫片
挤压高强度镍合金管时,将碳钢制成50mm厚的垫片,并将其焊接在坯料前端。这样可以降低开始挤压时最大压力的峰值,挤压完成后碳钢垫片会形成挤压管的前端。
4. 坯料后端焊接塑性垫片
为了充分利用贵金属,并使挤压后挤压管与压余容易分离,在个别情况下可将塑性垫片焊接在坯料的后端,垫片的厚度应该是使其完全成为压余的厚度。
5. 用反挤压法提高材料的塑性
在变形条件下,当变形区内建立起推力时,工作液体的静压力可以增高到金属材料屈服极限的5~6倍,因而甚至可成功挤压易碎的材料,如粉末冶金的坯料、灰口铁等。
6. 建立“反压力”
在实际工业生产中,用低塑性合金挤压管子时,采用将挤压模的圆柱带从10mm增加到15~25mm或者以小角度代替圆锥部分,即采用模子的人口角为5°~15°,使其建立“反压力”,可成功地用镍合金坯料挤压出镍管而没有破坏。此时,工作液体的静压力仅提高到(1.5~1.8)σb。
7. 降低坯料加热温度
当挤压管有一层易碎材料的双金属管或双层管时,为了提高变形区内工作液体的静压力,可采用降低坯料加热温度的方法。在这种情况下,易碎层的可塑性显著提高,防止了裂纹的产生。
8. 采用带圆锥孔型的模具
俄罗斯巴尔金中央黑色冶金科学研究院在拼压不锈钢、镍基高温合金和难熔金属时,采用带圆锥孔型的模子进行试验,其最小的挤压力是发生在采用的挤压模喇叭口入口角度2am=90°~120°的情况下,挤压模的进口喇叭口入口角在90°~120°间上下波动,都会使挤压力平均增加10%~15%。
9. 采用钼合金“可拆换环”的组合结构挤压模
组合模由模盒、模环、弹簧组成,为了提高挤压过程的稳定性,模环可采用钼合金(MTZ)制作。挤压操作时,可由10~16个钼合金环组成的挤压模轮流作业,由于模盒与模环借助于弹簧固定,可以方便地装卸。
二、特殊结构组合挤压模的使用
为了确保玻璃润滑剂的连续供给,保护挤压模工作部分免受过热和磨损,俄罗斯巴尔金中央黑色冶金科学研究院专门针对镍基高温合金和难熔金属的挤压设计了具有特殊结构的组合挤压模,其结构如图5-5所示。

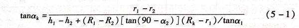
该挤压模由金属模套1、特殊材料挤压模2和特殊形状润滑垫3组成。润滑垫3既是模子组成形状的一部分,也可作为变形金属的润滑源。收缩锥的AB外环高度为h1,角度为α1,定径孔直径为2r1;内环高度为h2,锥角为α2,定径孔直径2r2<2r1.在该模子中,变形区的侧面形状的长度包括AB和BC两部分,形成带有由玻璃润滑材料构成的入口锥的双锥形孔型。模子平面BCDEF 被玻璃润滑剂填满,玻璃润滑剂形成了第二个压缩锥BC,其角度为αk为:

式(5-1)包含了设计挤压模孔型时的全部要素尺寸。
改变第一和第二个圆锥之间的延伸系数的比值、角度α1和α2以及内部嵌入物的轮廓尺寸,可以得到不同定径带的配合,且同时并不超过模子的基本尺寸(高度h1).在r1=Rk时,可得到由母线AC和角度αoδ所成的圆锥模子定径带;在r1=r2时,在模子中产生凸缘长度为BC的圆锥或平面(α1=90°)定径带。因此,模子润滑锥的角度a,可以在αoδ~0°范围变化。
将粉末状玻璃润滑剂,附加黏结剂(水玻璃、纸浆废液等)的混合物装入组合模干燥后使用。
挤压前,在挤压模上部的圆锥上放置玻璃润滑垫。挤压过程中玻璃的剩余物充满空间3。在挤压负荷的作用下,玻璃润滑剂被挤压成模子不可分离的部分。模子中位于直接邻近定径区的玻璃润滑剂可形成连续的玻璃膜,保证金属在流体动摩擦条件下完成变形。而玻璃润滑剂的隔热性能可降低模子凸缘部分金属的受热程度,从而提高挤压模的使用寿命。新型结构组合模的应用实践表明,单从模子的使用寿命来考虑,新型结构组合模的使用寿命是圆锥模的数倍。
挤压含硼的不锈钢产品时发现,产品纵向和横向上的力学性能存在较大的各向异性,这是由于附加相的纵向变形显著或不溶性非金属化合物在纵向呈条状所致。
为了避免挤压产品出现性能的各向异性,挤压时强迫产品在成形过程中进行旋转,造成挤压产品性能各向异性的相组织条纹线呈螺旋形布置。在模子锥形部分刻成螺旋形的凹线,而在模子的圆柱带无这种凹槽。挤压时,产品依靠这种专门的模子旋转,完成附加相的螺旋形分布,挤压出的钢管仍具有光滑外表面。在采用带凹线入口锥形模挤压,含硼产品力学性能的各向异性明显下降。

