一、坯料穿(扩)孔时的金属流动
不锈钢管挤压生产工艺过程中的穿孔工艺是指在立式穿孔机上,采用特殊形状的穿孔头,将实心的坯料穿孔成空心坯。而扩孔工艺则是将经预钻孔的空心坯料在立式穿(扩)孔机上,采用特殊形状的扩孔头,进行空心坯的再扩孔。
实心坯的穿孔和钻孔坯的扩孔,其金属流动可以按相同的图像来描述。
1. 实心坯料穿孔时的金属流动
为了研究在立式穿孔机上穿孔时金属的流动,采用在两端刻有坐标网格,不带润滑剂的坯料镦粗后,穿孔“中止”,从径向平面上取样制作显微磨片(图3-27)来进行分析。
由图3-27可以看出,穿孔头下端面形成倒锥形体的金属“停滞区”,其大小取决于穿孔头的形状和所使用的工艺润滑剂的效果。
而从穿孔余料(图3-28)可以看出,在其上端面(图3-28(a))留有坐标网格的痕迹,下端面(图3-28(b))也留有坐标网格的痕迹,并在其径向断面的显微磨片上看得出有倒锥形“停滞区”的金属流线痕迹(图3-28(c))。

据上所述,对于不带玻璃润滑剂的实心坯料穿孔工艺过程的金属流动可做如下描述:
当穿孔过程开始时,坯料进行预镦粗,使坯料沿圆周方向金属流动充满穿孔筒。此时,坯料直径与穿孔筒直径相同。当穿孔杆下降,穿孔头接触坯料上端面时,由于工具与接触坯料端面间的摩擦,在其接触面下形成倒锥体形的“停滞区”。当穿孔杆继续下降时,停滞的锥体状金属成为穿孔头的“前锥”,并随着穿孔头的向下推进,“前锥”金属楔入坯料中心,使向径向延伸的变形金属沿着穿孔头周边和穿孔筒内壁向上流动。
在穿孔过程结束时,穿孔头下面的停滞金属留在穿孔余料的上端面。穿孔余料进入“封底”剪切环后被切断。而穿孔坯料的下表面则由未变形的金属组成。
在穿孔过程中,由于穿孔头下面部分金属产生最强烈的变形,导致坯料中心部位金属的严重不均匀变形。穿孔空心坯内表面金属强烈的不均匀变形是最容易产生缺陷的部位。因而,往往在低塑性材料管材生产时,穿孔空心坯在挤压前,会进行冷却、酸洗、检查及磨修工序。
穿孔时,玻璃润滑剂的使用,使穿孔头下面的金属停滞区大大减小,甚至良好的润滑剂可以完全取代金属停滞区的体积。特别是下端面凹形穿孔头(图2-28)的采用,使穿孔头的凹形端面的接触处成为润滑剂的“特殊储存器”,润滑剂的熔化部分在穿孔头的周围及其与变形金属之间被均匀地挤出一层玻璃润滑剂,润滑穿孔头和坯料的内表面,以降低摩擦系数,使剪切变形限制在润滑层的范围内,从而降低了不锈钢管坯内表面产生缺陷的可能性,尤其是对于长坯料的生产效果更为显著。
同样,坯料的外涂粉为坯料金属与穿孔筒内衬的内表面接触提供了润滑条件,使穿孔时的摩擦力和不均匀变形区减小,有利于空心坯表面质量的提高。
2. 预钻孔坯料扩孔时的金属流动
预钻孔坯料的扩孔过程没有坯料的镦粗工序。
扩孔过程开始时,在特殊形状扩孔头向下移动的作用下,坯料金属开始塑性流动。金属首先向侧面扩张流动,至充满坯料和穿孔筒内表面之间的间隙。然后向上流动。当扩孔时的扩径力转变为剪切力的瞬间,进行扩孔余料的切除,结束整个扩孔过程。
扩孔过程中各阶段金属的流动如图3-29所示。

二、坯料穿(扩)孔时变形力的确定
1. 坯料穿孔时镦粗力的确定
表述在穿孔筒中镦压圆柱体的公式尚无,采用Siebel自由锻公式来确定坯料的镦粗力。一般模锻的压力为自由锻压力的一倍。根据阿亨工业大学塑性变形研究所的试验指出,锻压力模锻比自由锻大一倍以上。坯料穿孔时镦粗力的计算公式如下:

尼科波尔南方钢管厂计算敦粗力的简单公式:


2. 实心坯料穿孔时穿孔力的确定
实心坯料穿孔时的计算公式如下:

b. 尼科波尔南方钢管厂确定穿孔力的公式:


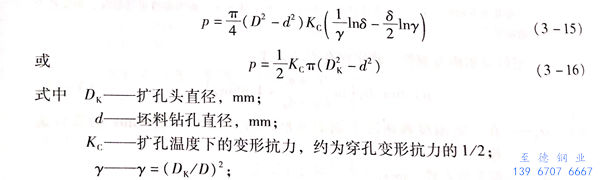
3. 预钻孔坯料扩孔时扩孔力的确定
预钻孔坯料扩孔时扩孔力的计算公式如下:


尼科波尔南方钢管厂的经验认为:
a. 在预钻孔坯料扩孔时,坯料在穿孔机上不进行镦粗。其延伸系数取大于1,但比实心坯料穿孔时小。
b. 扩孔力可以按实心坯料穿孔的公式来计算,其大小取为计算值的25%~30%.

