超声波在不同介质界面处的反射、折射和透射情况是进行超声探伤的重要物理基础。声波能量经界面时的声压声强变化主要取决于两侧介质的声阻抗。
1. 超声波垂直人射到两种介质界面处的反射透射情况
当超声波垂直入射于两种不同声阻抗介质的界面时,其反射波按入射波相反的路径返回,透射波垂直进入第二种介质。假设超声波所处介质声阻抗为Z1,人射声强为I0,入射声压为P0,反射声强为Ir,反射声压为Pr;另一种介质声阻抗为Z2,透射声强为It,透射声压为Pt.令声阻抗比m=Z1/Z2,可得:


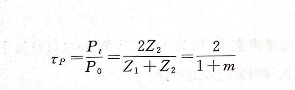
声压视为平面上单位面积所受的力,那么平面两侧的力应当平衡,故声压变化有P0+Pr=Pt.结合声压反射、透射系数,有

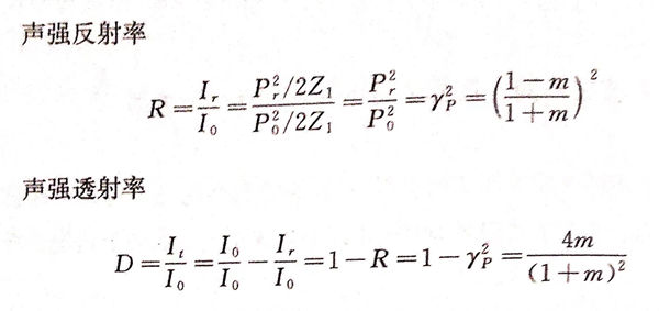
类似地,声强在界面两侧应满足能量守恒定律,所以有Io=Ir+It,如果把声强反射率(R)定义为Ir/I0,声强透射率(D)定义为It/I0,则有:

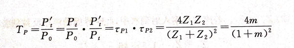
实际检测中,常用到自发自收探头,例如对钢板进行检测时,认为声波垂直入射进人钢板内部,透射波到达底部后,声压在钢板/空气界面被完全反射,然后垂直返回,被探头接收。探头接收到的返回声压P't与人射声压P0之比称为声压往复透过率,常用符号Tp表示。

所以

对比声强透射率D和声压往复透过率Tp,可知两者在数值上相等。
超声波垂直入射于不同声阻抗介质的界面,有以下四种反射和透射情况。
a. Z1<Z2
若声波从水中入射到钢中,水的声阻抗为Z1=1.5×106kg/(㎡·s),钢的声阻抗为Z2=46×106kg/(㎡·s),水/钢界面上的

图2.9表示从水入射到钢时,声压在两侧的分布。当声波从声阻抗小的介质人射到声阻抗大的介质时,反射声压较入射声压略低,而透射声压高于入射声压,且等于两者之和。由声强透射率D的大小可知入射声强中只有12.24%的能量进入钢中。

b. Z1>Z2
若声波从钢入射到水中,此时界面的声压反射系数

图2.10表示从钢入射到水时,两侧的声压分布。当声波从声阻抗较大的介质入射到较小的介质时,反射声压较入射声压略低;而透射声压因入射声压与反射声压相位相反,其数值也较小。计算得知入射声强中同样有12.24%的能量进入水中。

c. Z1 > Z2
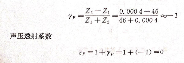
当声波从声阻抗高的固体入射到空气中,例如从钢中入射到空气中,就属于这种情况,此时Z1(钢)=46×106kg/(㎡·s),Z2(空气)=0.0004×106kg/(㎡·s),可计算声压反射系数


此时,声波在界面处几乎全部被反射,无法透射到空气中,因此,当超声波探头与粗糙待测件表面接触,如果不加耦合剂,就相当于探头与待测件表面间有一层空气,导致声波能量无法透射到待测件中,无法进行探伤。
d. Z1≈Z2
当声波从两种声阻抗相近的介质界面经过时,例如普通碳钢焊缝金属与母材金属之间,声阻抗相差仅1%,此时,界面的声压反射系数

此时,在界面处反射声压极小,而透射声压几乎与入射声压相同;声波能量几乎全部透射到第二种介质中。
2. 超声波斜入射到两种介质界面处的反射折射情况
当超声波以一定角度斜入射到两种介质界面时,会发生反射和折射现象,且遵循反射和折射定律。一定条件下,还会发生波型转换现象。
a. 超声纵波斜入射
当超声纵波斜入射到两种介质界面时,反射波和折射波的传播方向符合反射定律、折射定律,如图2.11所示,即


由式(2.4)可知,在同一介质中声波纵波波速不变,因此纵波反射角与纵波入射角相等,即αL=γL,同时,同一介质中纵波声速大于横波声速,因此纵波反射角大于横波反射角,纵波折射角大于横波折射角,即γL>γs,βL>βs.
当αL增加时,βL也增加,增加到一定程度时,βL=90°,这时所得纵波入射角称为第一临界角,常用aI表示。当αL>αI时,第二介质中既有折射纵波L,又有折射横波S.
当αL增加时,βs也增加,增加到一定程度时,βs=90°,这时所得纵波入射角称为第二临界角,常用aII表示。当αI<αL<aII时,第二介质中没有折射纵波L,只有折射横波S,这种情况也是横波探头的制作原理。
b. 超声横波斜入射
当横波以一定角度入射到两种固体界面时,也会出现波形的转换,如图2.12所示。

同样地,横波斜入射也符合反射、折射定律:

横波斜入射时,随着αs增加,yL=90°时,所对应的横波人射角αs为第三临界角,常用αIII表示,横波入射角大于第三临界角时,产生横波全反射现象。

