不锈钢电化学抛光液一般含有硫酸、磷酸、铬酐及少量的水,以及在电解过程中溶入的Fe3+、Cr3+、Ni2+、Mn2+等杂质。当采用标准碱液连续滴定时,这些金属杂质的盐类会水解,使分析结果偏高。因此,在滴定过程中要加入络合剂掩蔽金属杂质,以防止水解。络合掩蔽剂采用六偏磷酸钠或EDTA。
采用六偏磷酸钠时,由于其水溶液pH=6,采用甲基红和溴甲酚绿混合指示剂在第一个等电点滴定时pH=5,所以六偏磷酸钠不消耗碱,用酚酞为指示剂进行第二个等电点滴定时pH=9.5,六偏磷酸钠就会耗去相应量的碱,此碱量需在计算中扣除。其反应式如下。
第一个等电点时(pH=5):
H2SO4+2NaOH→Na2SO4+2H2O
H3PO4+NaOH→NaH2PO4+H2O
H2CrO4+NaOH→NaHCrO4+H2O
第二个等电点时(pH=9.5):
NaH2PO4+NaOH→Na2HPO4+H2O
NaHCrO4+NaOH→Na2CrO4+H2O
(NaPO3)6+6NaOH→6Na2HPO4
若是采用 EDTA,从络合能力看比六偏磷酸钠好,但第一个等电点时,0.05mol/L的EDTA溶液的pH约为4,离第一个等电点较远,需消耗一定量的氢氧化钠,到达第二个等电点时进一步消耗氢氧化钠,需分别扣除。
扣除方法:取一个同本操作中所加络合掩蔽剂用量相同的络合掩蔽剂,加水稀释,进行空白实验,(不加电化学抛光液),分别以甲基红、溴甲酚绿指示剂用氢氧化钠标准液滴定至第一个等电点,由红变绿,记录耗用的氢氧化钠毫升数,以酚酞为指示剂用氢氧化钠标准液滴至第二个等电点,由绿色变紫红色,记录耗用的氢氧化钠毫升数,分别在计算中减去。
1. 试剂
①. 标准0.5mol氢氧化钠溶液。称取20g氢氧化钠溶于蒸馏水中,用水在量瓶中稀释至1L.
标定:称取在120℃干燥2h后的分析纯苯二甲酸氢钾(KHC8H4O4)4g(四位有效数字P)于250mL锥形杯中,加水100mL,温热使其溶解,加入酚酞指示剂2滴,用配制好的氢氧化钠溶液滴定至淡红色为终点,记录耗用的氢氧化钠溶液为V(mL)。
计算:标准氢氧化钠溶液的摩尔浓度
M= P × 1000 / V × 204.2 (mol/L)
②. 0.1mol六偏磷酸的溶液。称取120℃干燥2h后的分析纯六偏磷酸钠61.20g,溶于蒸馏水中,用水在容量瓶中稀释至1L。不需标定。
③. 0.05mol EDTA标准溶液。②和③中两者择其一,称取分析纯EDTA(乙二胺四乙酸二钠,其分子式C10H14N2O8Na2·2H2O)20g,溶解于热蒸馏水中,冷却后,用水在容量瓶中稀释至1L。
标定:称取分析纯金属锌0.4g(准确称重至四位有效数字P),在250mL锥形瓶中用1:1试剂盐酸加热溶解锌至完全形成氯化锌,冷却,移入100mL容量瓶中,加水稀释至刻度,摇匀。用移液管吸取20mL于250mL锥形瓶中,加水50mL,以氨水调节至微碱性,加入pH=10缓冲溶液(溶解54g氯化铵于水中,加入350mL浓氨水,加水稀释至1L)10mL,铬黑T指示剂(0.5g铬黑T和氯化钠50g研磨而成)少许,摇匀,以配好的0.05mol EDTA标准溶液滴定至由红变蓝色为终点,记录耗用的EDTA溶液V(mL).
计算:标准EDTA溶液浓度

④. 甲基红指示剂(pH 4.2~6.3).称取甲基红0.1g溶解于60mL乙醇中,溶解后加水稀释至100mL。
⑤. 溴甲酚绿指示剂(pH 3.6~5.2).称取溴甲酚绿0.1g溶解于2.88mL的0.05mol氢氧化钠溶液中,加水稀释至250mL。
⑥. 酚酞指示剂(pH 8.3~10.0).称取1g酚酞溶解于80mL乙醇中,溶解后加水稀释至100mL.
2. 分析方法
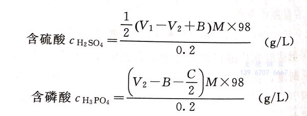
①. 用六偏磷酸钠作掩蔽剂。
a. 吸取试液5mL于250mL容量瓶中,加水稀释至刻度,摇匀。
b. 吸取此液10mL于300mL锥形瓶中(相当于原液0.2mL),加水80mL。
c. 用移液管准确加人六偏磷酸钠溶液20mL。
d. 加甲基红4滴、溴甲酚绿6滴。
e. 以0.5mol氢氧化钠标准溶液滴定至绿色为终点,记录耗用量V1。
f. 加酚酞5滴。
g. 以0.5mol氢氧化钠标准溶液滴定至红色(保持20s不退),记录耗用量V2。
h. 另用移液管吸取0.1mol六偏磷酸钠溶液20mL于250mL锥形瓶中,加水80mL。
i. 加酚酞5滴。
j. 用0.5mol氢氧化钠溶液滴定至红色,记录耗用量B(mL)。
计算:

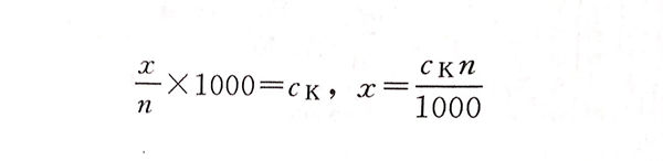
式中,M为标准氢氧化钠溶液的摩尔浓度;C为中和所取试液中的CrO3相的标准氢氧化钠溶液的容积,mL。
设n为所取试样容积,mL;ck为三氧化铬浓度,g/L;x为所取试样中含氧化铬质量,g;
则有:


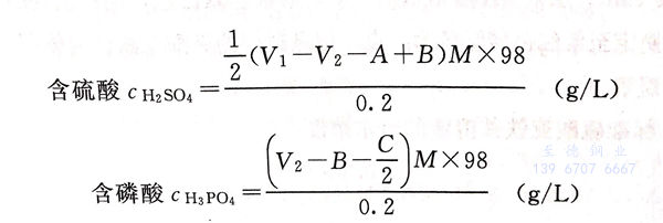
②. 用EDTA作掩蔽剂。
a. 吸取试液5mL于250mL容量瓶中,加水稀释至刻度,摇匀。
b. 吸取此液10mL于300mL锥形瓶中(相当于原液0.2mL),加水80mL。
c. 用移液管准确加入0.05mol EDTA标准溶液20mL。
d. 加甲基红4滴、溴甲酚绿6滴。
e. 用0.5mol氢氧化钠标准溶液滴定至绿色为终点,记录耗用量为V1。
f. 加酚酞5滴。
g. 用0.5mol氢氧化钠标准溶液滴定至红色(保持20s不褪色),记录耗用量为V2。
h. 另用滴定管取0.05mol EDTA于250mL锥形瓶中,加水80mL。
i. 加甲基红4滴,溴甲酚绿6滴。
j. 用0.05mol氢氧化钠溶液滴定至绿色,记录耗用量为A。
k. 加酚酞5滴。
l. 继续用0.05mol氢氧化钠溶液滴定至红色,记录耗用量为B。
计算:

C 的计算与①用六偏磷酸钠掩蔽的公式相同。

